彩虹多多



热门关键词: 高压开关动作特性测试仪 断路器特性测试仪 彩虹多多:变压器综合测试系统 承装承试设备选型 高压开关测试仪 变压器综合测试 串联谐振

联系彩虹多多

及时联系彩虹多多 为您解答产品相关疑问 欢迎拨打全国统一服务热线

销售电话: 027-8777 1781
                027-8777 1782
服务电话 133 9713 6633 
传真电话: 027-8777 1786
电子邮箱: whhdgk@126.com

氧化锌避雷器在线测试仪测试数据说明

您的位置:彩虹多多 >> 服务支持 >> 技术文章

氧化锌避雷器在线测试仪

 


    彩虹多多:氧化锌避雷器在线测试仪是用于检测氧化锌避雷器电气性能的专用仪器,该仪器适用于各种电压等级的氧化锌避雷器的带电或停电检测,从而及时发现设备内部绝缘受潮及阀片老化等危险缺陷。本文主要介绍氧化锌避雷器在线测试仪(单相)测试数据说明。

Ux:参考电压有效值。它仅含基波和 3、5、7 次谐波。计算公式为:

氧化锌避雷器在线测试仪公式

变比Ku=1.000已经乘到 U中,如果Ku 设置为PT变比,将显示母线电压。

U1:为试验电压基波有效值。当谐波含量较小时,U1≈Ux

U357%:电压的3、5、7 次谐波占电压基波的相对含量,单位为%。

Ix:全电流有效值。它仅含基波和3、5、7 次谐波。

Ixp:全电流峰值,即Ix的峰值。

Ix1、Ix3、Ix5、Ix7:全电流1、3、5、7次有效值。

Ir:阻性电流有效值。它仅含阻性电流基波和阻性电流3、5、7次谐波。 Irp:阻性电流峰值,即Ir 的峰值。

Ir1p:阻性电流基波峰值。

Ic1p:容性电流基波峰值。

MOA全电流既含有 MOA非线性产生的高次谐波,也含有母线电压谐波产生的高次谐波。与Irp 相比 Ir1p 更加稳定真实。因此建议用 Ir1p作为阻性电流指标。

氧化锌避雷器在线测试仪采用投影法计算

 Ir1p = Ix1p sinΦ

Ic1p = Ix1p cosΦ

图八其中Φ 为电流超前电压角度,其中已经包含补偿角度Φ0。

注意:(1)Φ 超过 90°Ir1p 为负值,超过 180°Ic1p 也为负值。(2)如果 Ix 波形是平顶的,Ic1p可大于Ixp。

P:有功功率。

说明:(1)Ku 应设置为 PT 变比以获得运行电压下 MOA 功耗。(2)如果参考电压是线电压方式,U1 还除以√3。  (3)感应板方式假定U1=1000V,功率名称改为Pkv,可以乘实际电压(以kV为单位)以获得运行电压下MOA功耗。

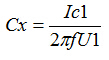
Cx:MOA电容量。计算公式如下:

氧化锌避雷器在线测试仪测量公式

Ic1为容性电流有效值,U1 是基波电压有效值,f是电网频率。

说明:(1)Ku 应设置为 PT 变比以获得运行电压下 MOA 电容量。(2)如果参考电压是A-B或C-B方式,U1 还除以√3。Ir3p、Ir5p、Ir7p:3、5、7次阻性电流谐波峰值。

说明:Ir3p、Ir5p、Ir7p 与谐波算法有关。因此 Ir、Irp 和阻性电流波形都受到谐波算法影响。

Φ:电流超前电压角度,其中已经包含补偿角度Φ0。

以上就是氧化锌避雷器在线测试仪(单相)测试数据说明,了解更多避雷器测试设备可在线咨询彩虹多多 。


     彩虹多多主要经营电气设备、电子产品、仪器仪表制造、安装;计算机软件开发;电子元器件、电线电缆、五金交电批发等串联谐振实验装置、绝缘耐压测试设备、避雷器电缆测试设备、继保/回路测试设备、开关断路器检测设备、蓄电池/直流测试设备等。彩虹多多供应电力检测设备、高压试验设备、电力实验设备、电力检修设备等产品,真正的为客户创造价值、节省费用,实现“设备永续、设备无忧”!
有关产品购买、信息咨询、技术资料等欢迎致电::027-87771780 或是
上一篇: 高压开关动特性测试仪什么是刚分(合)速度?
下一篇: 彩虹多多:程控超低频高压发生器的操作方法
版权说明:本站所有文章、图片、视频等资料的版权均属于彩虹多多官网-追求健康,你我一起成长 chdd ,其他任何网站或单位未经允许禁止转载、用于商业盈利,违者必究。如需使用,请与彩虹多多 联系;允许转载的文章、图片、视频等资料请注明出处"来自:武汉彩虹多多"。

荣誉客户

荣誉资质